當前位置:產品中心 > V錐流量計 > V錐流量計
| 型 號: | DQZ |
| 品 牌: | 多欽儀表 |
| 所屬分類: | V錐流量計 |
| 所 在 地: | 上海 |
| 更新日期: | 2017.04.07 12:05:23 |
V錐流量計主要用來測量氣體、液體和蒸汽的瞬時流量。側重於高溫、高壓或低流量、低壓力、混合氣體等特殊工況介質。
產品描述:
V錐流量計中V型(xing)錐(zhui)的(de)圓(yuan)錐(zhui)形(xing)使(shi)流(liu)體(ti)的(de)流(liu)動(dong)分(fen)散(san),從(cong)而(er)使(shi)速(su)度(du)分(fen)布(bu)更(geng)平(ping)坦(tan),尖(jian)形(xing)的(de)錐(zhui)體(ti)其(qi)本(ben)身(shen)就(jiu)是(shi)一(yi)個(ge)流(liu)動(dong)調(tiao)整(zheng)器(qi),能(neng)有(you)效(xiao)減(jian)弱(ruo)速(su)度(du)分(fen)布(bu)中(zhong)的(de)凸(tu)形(xing)形(xing)狀(zhuang)。使(shi)流(liu)體(ti)速(su)度(du)分(fen)布(bu)符(fu)合(he)要(yao)求(qiu),有(you)效(xiao)減(jian)少(shao)上(shang)遊(you)直(zhi)管(guan)的(de)要(yao)求(qiu),降(jiang)低(di)了(le)安(an)裝(zhuang)成(cheng)本(ben),適(shi)用(yong)於(yu)大(da)多(duo)數(shu)氣(qi)體(ti)、流體和蒸汽,以及高溫高壓應用場合,易於使用、檢驗和排除故障。
用戶在進行V錐流量計的選型訂貨時,首先要給製造企業提供以下工藝參數:
被測介質的名稱;·管道口徑;使用場合;介質狀態、溫度和壓力;刻度流量、最大流量、最小流量;工藝管線管徑和材質,具體的安裝要求。
注:上述參數是製造廠在生產之前進行詳細計算的基礎,沒有這些參數,很難製作一台符合用戶要求的V錐流量計。製造廠根據用戶提供的上述參數,計算出V錐流量傳感器的β值和差壓值(差壓變送器的量程範圍)。這些工作是在製造廠由專業工程師進行計算完成。
常用型號:DQZ-A200A3-1.0SRFHC
型號注解:V錐流量計,DN200,測量介質為:蒸汽,法蘭連接,表體和V錐體材質均為304不鏽鋼,介質溫度400 度,額定壓力1.0MPa,法蘭取壓,配套高溫型安裝附件(截止閥一個,三閥組一個,冷凝管及冷凝器,引壓管二根)。
一套完整的V錐流量計包含:V錐流量傳感器、差壓變送器、安裝附件、安裝法蘭及緊固件(多自配),流量積算儀
流量計價格隨選型規格、口徑、配置變化影響,不是一口價產品,需要根據您的工況選型報價.


適用範圍:1、蒸汽的測量
2、食品果汁的測量
3、軋鋼廠排出的高溫廢氣的測量
4、硫化廠高壓鍋爐風的測量
5、焦爐煤氣的測量
6、常用氣體、液體的測量
7、混合氣、固液混合物的測量
配置說明:


V錐流量計使用說明書,下載地址:http://www.zaza.net.cn/xiazai/detail/149
主要優勢特點
1、永久壓力損失小
形成獨特的局部收縮,永久壓力損失小,zhiyoujiqianpa,shenzhilingdianjiqianpadeyongjiuyalisunshi。zhuitishiliutizhouduichengdixiangguanbizhujianshousuo,zhujiankuosandebianbijieliu,erzhuitiweiyuguandaodezhongxinzhouxianshang,eryouxiaodezuoyongyugaosuzhongxinqu,zaixiangtongtiaojianxia,V錐的永久壓損為孔板的25%,差壓為孔板的50%,能耗小。
2、準確度高0.5%,重複性好0.1%,量程比寬10:1
由於V錐流量傳感器采用“內壁逐漸收縮式”的節流方式,使得在下遊側產生的靜壓是高頻低幅值的信號(喘流),而不是孔板等老式差壓流量計量產生的是低頻高幅值的信號,這使得差壓變送器測量出的差壓△P是低躁聲的非常穩定的信號,如果在躁聲大的背景下,差壓變送器是沒法測量出低壓力,小流量的壓力信號的。
3、安裝所需要的直管段短
自動整流功能。安裝所需要的直管段短:前直管段隻需要0~3D,後直管段隻需要0~1D。直管段要求低。V形xing錐zhui的de圓yuan錐zhui形xing使shi流liu體ti的de流liu動dong分fen散san,從cong而er使shi速su度du分fen布bu更geng平ping坦tan,尖jian形xing的de錐zhui體ti其qi本ben身shen就jiu是shi一yi個ge流liu動dong調tiao整zheng器qi,能neng有you效xiao減jian弱ruo速su度du分fen布bu中zhong的de凸tu形xing形xing狀zhuang。使shi流liu體ti速su度du分fen布bu符fu合he要yao求qiu,有you效xiao減jian少shao上shang遊you直zhi管guan的de要yao求qiu。
4、自混合功能及自清掃功能
不bu堵du塞sai不bu粘zhan附fu,可ke以yi測ce量liang贓zang汙wu流liu體ti的de流liu量liang。由you於yu錐zhui體ti位wei於yu軸zhou中zhong心xin的de流liu體ti的de高gao速su中zhong心xin區qu,流liu體ti中zhong所suo夾jia帶dai的de液ye滴di,氣qi泡pao,固gu體ti顆ke粒li物wu會hui被bei自zi動dong清qing掃sao到dao管guan道dao下xia遊you,特te別bie是shi在zai連lian續xu使shi用yong的de狀zhuang況kuang下xia。
5、自保護功能
耐磨損,具有長期穩定性,不需要重複標定。 由於V形錐是一個尖形體,確保沒有流體直接衝擊它的下遊邊緣,使磨損減少,這樣確保流量計的 可靠性,減少維護工作量,並延長儀表的檢定周期。
6、可測量水氣
壓縮空氣、飽(bao)和(he)蒸(zheng)汽(qi)等(deng)氣(qi)體(ti)采(cai)用(yong)孔(kong)板(ban)測(ce)量(liang)時(shi),孔(kong)板(ban)前(qian)常(chang)有(you)積(ji)水(shui),影(ying)響(xiang)測(ce)量(liang)精(jing)確(que)度(du)。解(jie)決(jue)該(gai)問(wen)題(ti)的(de)方(fang)法(fa)通(tong)常(chang)是(shi)將(jiang)節(jie)流(liu)裝(zhuang)置(zhi)安(an)裝(zhuang)在(zai)垂(chui)直(zhi)工(gong)藝(yi)管(guan)上(shang),或(huo)改(gai)用(yong)圈(quan)缺(que)孔(kong)板(ban)或(huo)偏(pian)心(xin)孔(kong)板(ban)。而(er)錐(zhui)體(ti)位(wei)於(yu)軸(zhou)中(zhong)心(xin)的(de)流(liu)體(ti)的(de)高(gao)速(su)中(zhong)心(xin)區(qu)的(de)結(jie)構(gou)特(te)點(dian)可(ke)以(yi)根(gen)本(ben)解(jie)決(jue)節(jie)流(liu)件(jian)前(qian)積(ji)水(shui)的(de)問(wen)題(ti),而(er)又(you)因(yin)為(wei)這(zhe)是(shi)其(qi)固(gu)有(you)的(de)特(te)點(dian)而(er) 無需特製或特別處理,所以不會對測量造成任何不確定性。
測量原理

技術規格
1、V型錐流量計有直焊式和法蘭連接式、方管式、對夾式、非標訂製幾種結構形式。 產品供貨範圍見選型表。
2、使用範圍:廣泛運用於油,水,氣,汽各種流體,特別是一些高溫高壓,髒汙介質的測量,明顯強於其它的儀表
3、準確度等級:±0.5%
4、重複性:0.1%
5、工作壓力:最大42MPa
6、工作溫度:-40~700C°
7、環境溫度:-40~80C°
8、量程比:通常為10:1,選用合適的差壓變速器可達60:1
9、安裝直管段要求:前3D直管段,後1D直管段
10、適用介質:幾乎適用於所有氣體、液體介質
11、公稱通徑:DN15~DN2000
12、結構材料材質:管道,表體法蘭及V錐體可提供多種材質供用戶選擇,來滿足不同工況的需要
13、安裝方式:可提供多種附件供用戶安裝,滿足用戶的各種工況的需求,可以任意方向安裝,與介質狀態無關
14、防爆等級(差壓變送器):隔爆、本安、不防爆可供選擇(差壓變送器)
15、供電電源(差壓變送器):12~24VDC
16、輸出信號(差壓變送器):4~20mA或HART協議
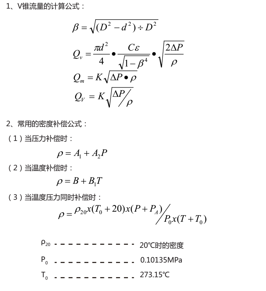
常用數學公式

設計製造引用標準
V錐流量傳感器設計製造引用的規範性標準文件有:
Q/VDDO-1-2014 V錐流量傳感器
GB/T2624.1-2006,GB/T2624.2-2006《用安裝在圓形截麵管道中的差壓裝置測量滿管流體流量》
Q/VDDO-1-2013《V錐流量傳感器》企業標準裏所引用的相關標準
出廠檢定標準參照JJG640—1994《差壓式流量計檢定規程》執行
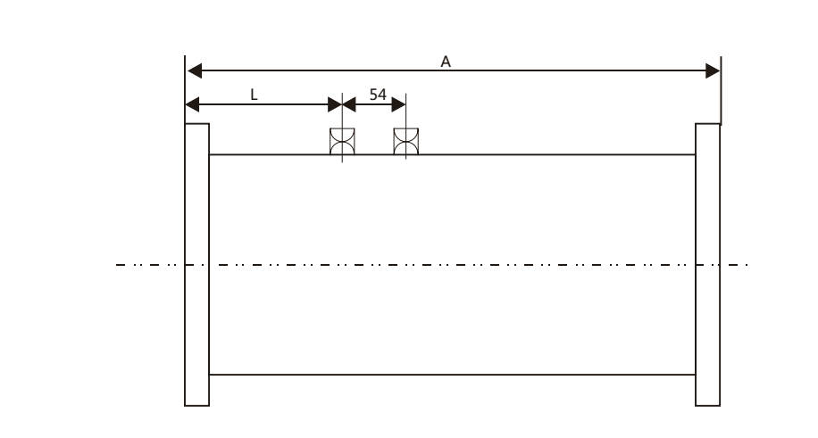
外形結構圖:

外形結構尺寸

典型安裝
(一)流量計在安裝之前必須特別注意以下要求:
1、注意流量計的流向,不要裝反。
2、所有連接件必須擰緊。所有的墊片不得突出管道內壁。
3、差壓變送器的高低壓口不能裝反。
4、測量液體時,要防止液體中含有的氣體進入並積存在導壓管和變送器的測量室內。
5、測量氣體時,要防止氣體中可能含有的液體進入並積存在導壓管和變送器測量室內。
6、測量高溫液體、氣體要防止高溫介質損壞變送器,測量強腐蝕,易結晶,易堵塞介質,要防止腐蝕介質進入變送器。
7、差壓變送器安裝位置應遠離電噪聲,如大功率變壓器、電動機、電焊機和強電源。儀表附近不能有射頻幹擾,否則會幹擾差壓變送器的正常工作。
8、流量傳感器應盡量避免安裝在閥門出口近處。
9、流量計避免安裝在架空的長細管道上,若必須安裝時,必須對安裝流量計的部分進行管道固定。
10、蒸汽的測量
zhengqideceliangshiliuliangceliangnandubijiaodadeyixianggongzuo,zhengqiderelixingzhibilixiangqitifuza,zhengqiderelixingzhizhijinhaibunengdanchunyonglilunfangfalaiqiudeqiguilv, 很多情況下都是采用實驗的方法得出一些數據來總結一些公式,而且蒸汽的測量精度不高(GB/T17167企業能源計量器具性能要求中,對貿易結算的蒸汽準確度要求是+/-2.5%),對安裝的要求尤為嚴格,一般安裝的原則是:A)變送器的位置在任何情況下都要低於冷凝罐。B)冷凝 罐及液相導壓管內完全是溫度相同的液體狀態。C)汽相導壓管流路暢通且管內以汽相為主。
11、水平安裝的V錐,其取壓口按測量的介質不同可分為以下三種安裝方式:
(1)測量液體流量時,取壓口應向下傾斜45° ,或水平位置,防止液體裏的氣體和積存在導壓管內或差壓變送器測量室內對測量帶來誤差。



投用前的準備工作
1、對於氣體和液體介質,零位遷移完畢後,依次緩慢打開截止閥,再緩慢打開高壓閥、關閉平衡閥,打開低壓閥,即可投用。
2、當介質為蒸汽時,應當待導壓管內蒸汽全部冷凝成水後再開表,防止蒸汽未冷凝時開表出現振蕩現象,引起損壞傳感器膜盒。
為避免高溫蒸汽直接通入傳感器膜盒,燒壞傳感器膜盒及三閥組,需按如下步驟進行操作:
零位遷移完畢後,緩慢打開高、低壓,一次截止閥,逐步讓蒸汽進入導壓管,利用導壓管及冷凝器冷卻蒸汽(也可以采取用噴淋冷水的方法進行 冷卻,或事先通過冷凝罐往導壓管內充冷水),待導壓管內蒸汽全部冷凝成水後,打開三閥組的高、低壓取壓閥,關閉平衡閥。必須確保蒸汽進入 傳感器室的溫度要控製在100℃以內。運行中不得開啟平衡閥,否則高溫蒸汽降燒毀膜盒和三閥組。
用戶必須遵循本使用手冊的指令及警告,以保證儀表的正確使用。不當的使用方法可能會對儀表造成損壞。
常見故障

售後與質保
多欽儀表(上海)有限公司供應的所有產品:
所有產品質保2年;
免費提供電話谘詢、指導安裝調試等服務;
協商上門指導安裝、調試等事宜,隻收取合理的差旅費用;
量大可以免費上門指導安裝、調試;
服務宗旨:不管產品使用多長時間,隻要您找到我們,我們都會為您解決所有問題,直到滿意為止。相信我們從事流量計行業10多年的實踐經驗能為你帶來滿意的服務。